上硅所李驰麟组Nano Energy:超高倍率的可充电型锂氟化碳电池,2000次循环!

栏目:行业动态 发布时间:2025-06-16
溶剂化结构和界面设计实现超高倍率、长寿命的可充电型锂氟化碳电池

【研究背景】

一次锂-氟化碳电池具有高能量密度、长储存寿命和低自放电率的特点,已被应用于航空航天和深海探测等一些专业领域。然而,自该电池体系诞生以来,一直被认为是不可充电的。在之前的研究中,尽管向电极中掺杂氧元素降低了充电难度,但正极界面的退化仍会导致该电池体系的失效。在此,我们通过设计电解质溶剂化结构和界面,提出了一种具有前所未有的长寿命的可充电氟化碳电池。添加带有负电端基的异硫氰酸乙酯(EITC)有助于中和锂离子上的正电荷,减轻溶剂的极化,并提高其在正极的氧化稳定性。EITC 比溶剂具有更高的反应活性,会优先在正极发生聚合反应,从而抑制副反应和溶剂降解。由基于 EITC 的电解质调控的掺氧氟化碳电池,即使在 20 A/g 的超高电流密度下,也能展现出至少 2000 次循环的超长寿命(可逆容量高达 425 mAh/g)。即使在-20 °C 的低温下,可逆容量仍超过 300 mAh/g。这种电解质配方赋予了氟化碳正极 40892 W/kg 的高功率密度和 1140 Wh/kg 的高能量密度。


【文章简介】

近日,中国科学院上海硅酸盐研究所李驰麟研究员带领的科研团队在国际材料领域著名刊物Nano Energy上发表题为“Enable rechargeable carbon fluoride batteries with ultra-high rate and ultra-long life by electrolyte solvation structure and interface design”的研究论文。该工作中,异硫氰酸乙酯(EITC)被选为一种电解液添加剂,它能够有效调控用于高可充性氟化碳电池电解质内的溶剂化结构。由于 EITC 结构小巧,它能够渗入锂离子的第一溶剂化壳层,从而增加六氟磷酸根阴离子与锂离子之间的配位数,同时缩短它们之间的空间距离。这种作用稳定了易分解的六氟磷酸根阴离子。EITC 中带负电端基的存在以及锂离子与六氟磷酸根阴离子之间距离的缩短,有助于中和锂离子上的正电荷,降低溶剂分子(尤其是碳酸乙烯酯,EC)的极化程度。EITC 添加剂还降低了电解质中 EC 的实际最高占据分子轨道(HOMO)能量,从而提高了 EC 在正极的氧化稳定性。对 EC 高度极化及其分解的抑制进一步增强了六氟磷酸根阴离子的稳定性,并减少了界面副反应的发生。此外,与溶剂分子相比,EITC 及其溶剂化的 EITC 具有更高的 HOMO 能量、更高的极化率和更高的反应活性,因而它们的氧化反应优先发生。其氧化反应会促使其在电极上自发聚合,以阻止副反应和界面钝化。由此形成的阴极电解质界面(CEI)还能阻止放电产物扩散到电解质中,减少正极中氟的损失。基于经过氧处理的氟化石墨(简称 CFO)正极的 EITC 改性电池在循环寿命方面表现出显著提升,即使在 20 A/g 的极高电流密度下,也能实现长达 2000 次的超长循环,可逆容量高达 425 mAh/g。即使在 -20 °C 的温度下,可逆容量仍能超过 300 mAh/g。搭配这种改性电解质的 CFO 正极展现出 40892 W/kg 的高功率密度和 1140 Wh/kg 的高能量密度。


【本文要点】

要点一:分子及实际电解液组分的HOMO-LUMO能级

DFT计算显示,EITC分子的HOMO能级(-6.59 eV)高于溶剂EC(-8.00 eV)和DEC(-7.60 eV),同时其最低未占据分子轨道(LUMO)的能量(-0.35 eV)要比EC(0.93 eV)和DEC(1.26 eV)更低。这一比较说明,EITC相比于溶剂分子具有更强的亲核性和亲电性。LUMO和HOMO之间能量带隙越小,代表分子反应性越强,也越容易被激发。EITC分子的能量带隙为6.24 eV,显著低于EC(8.93 eV)和DEC(8.86 eV),进一步证明EITC会优先于溶剂在正极表面发生氧化反应。HOMO和LUMO能级的电子云分布表明,溶剂化后EC和DEC的电子云分布变得更加集中,并且分布在靠近锂离子和远离锂离子的两端,直接证明了溶剂的极化效应。在未改性的电解液中,EC分子的HOMO能量最高,说明其在电解液中最容易在正极发生氧化反应。在EITC改性的电解液中,电解液各组分的HOMO能级出现整体下移,说明电解液在正极的稳定性得到了显著的提升。尽管EITC的添加量仅为EC的百分之几,但其使EC的HOMO能量对应的态密度的峰的强度显著减弱。此外,EITC的HOMO能级与EC的能级十分接近,说明在实际的电解液中,当氧化反应在正极发生时,EC与EITC尽管含量差距较大,但两者为平等的竞争关系。而EITC在正极的氧化反应的产物为聚合物层,其可以阻止后续界面氧化反应的发生。

图片

图1 分子及实际电解液组分的HOMO-LUMO能级


要点二:不同电解液中的动力学及界面演化

未改性电解液的电池中,尽管正极已经预先进行了氧掺杂,电池在首次放电后的阻抗仍接近400 Ω,且第二次放电的比容量仅为首次放电比容量的一半。虽然在后续的充电过程中,阻抗确实有所减小,但减小后的阻抗仍接近200 Ω。对于使用未改性电解液的电池,对应于原位阻抗谱中CEI和电荷转移动力学过程的弛豫时间分布(DRT)峰在第一次放电过程中几乎没有任何变化,说明界面在这一阶段保持稳定。然而在随后的充电以及再次放电过程中,其随着充放电反应的进行而不断的发生剧烈变化,说明未改性电解液中形成的CEI不稳定。电荷转移过程与电极的界面反应相关,其对应的峰在充放电过程中的持续剧烈变化,也说明界面副反应持续存在。在少量EITC引入电解液的体系中,第二次放电曲线中,在2.5 V附近可以观察到一个很长的平台,且第二次放电的比容量接近第一次放电的比容量。在整个充放电测试过程中,使用改性电解液电池的阻抗均保持在100 Ω左右,远低于未改性电解液体系的阻抗。CEI对应的DRT峰在首次放电后迅速稳定,证明在第一次充电过程中形成了高稳定性的CEI。对应于电荷转移部分的DRT峰呈现同样的变化趋势,在充电过程开始后迅速稳定。这些结果说明EITC的加入重构了界面以及阻碍了界面副反应的发生。

图片

图2 Li-CFO电池在不同电解液中的原位阻抗和DRT分析


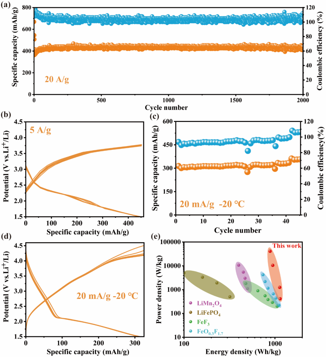
要点三:CFO在EITC基电解液的全电池性能

归功于稳定界面的构建,使用2% EITC添加量电解液的CFO正极表现出了显著提升的循环寿命,在20 A/g的超高电流密度下实现了2000次循环,其可逆容量高达425 mAh/g且在整个循环过程中几乎没有任何衰减。即使在高的电流密度下,氟化碳在2.3 V附近的放电平台仍然清晰可见,且在整个循环过程中曲线和平台保持较好。在-20℃的低温下,电池的首圈放电比容量在20 mA/g的电流密度下为335 mAh/g,在经过随后循环进行激活后,电池可逆容量可以提升到375 mAh/g。由于低温下电解液黏度增加以及离子电导率降低导致的动力学变差,使得全电池曲线的极化显著增加和氟化碳放电平台(2.0 V)的下降,但是曲线的重合程度较高,说明氟化碳在低温下的转换反应可逆性仍然较高。CFO正极搭配EITC改性的电解液时,在20 A/g的电流密度下可以实现高达40892 W/kg的可逆功率密度(基于正极活性材料)。该体系在100 mA/g的电流密度下最高能够实现高达 1140 Wh/kg的能量密度(基于正极活性材料)。

图片

图3 CFO在EITC基电解液的全电池性能


要点四:CFO在EITC基电解液中的反应机理

在放电态,可以观察到分别属于石墨碳和氟化锂的不同区域(放电态中氟化锂的区域与石墨碳的区域紧密贴合,有利于在随后的充电过程中的电荷接触和氟化锂的裂解。选区电子衍射图(SAED)呈现单晶衍射和多晶衍射结合的现象,两个主要的多晶环分别对应于LiF的(111)晶面和Li3N的(200)晶面。单晶衍射信号对应于石墨碳,因为石墨碳的(001),(100)和(101)面可以被归属出来,且可以形成垂直于[010]晶带轴的一个平行四边形。高分辨透射电镜(HRTEM)图像可以清楚观察到与石墨碳六边形晶格对应的晶格条纹。充电后的颗粒不再如放电后一样厚度不一,整个大颗粒变得均匀,除了有少量斑点。SAED图中不仅单晶的石墨碳几乎完全消失,而且氟化锂对应的多晶环变得较弱,这证明了在充电过程中石墨碳的高度可逆氟化以及氟化锂的有效解离。在Li 1s的XPS谱中,在放电后可以观察到氟化锂的峰,其在充电后完全消失,说明氟化锂在充电过程中的高效解离。在F 1s谱中,当使用未改性电解液时,可以明显观察到一个强度很高的退化阴离子峰,其来自于六氟磷酸锂的分解反应。相比之下,在EITC改性电解液中,这个电解质盐的副反应峰几乎完全消失,证明界面副反应得到了有效缓解。在P 2p谱中,在EITC改性电解液中没有P谱的信号,进一步说明添加剂介导CEI将电解液组分完全隔绝,在整个长期循环中实现了稳定的界面。


飞行时间二次质谱(ToF-SIMS)被用来测试充电后的CFO正极,以收集使用EITC基电解液电池的界面组分及其在空间尺度上的变化,以进一步探究界面的稳定性。深度曲线清晰地展示了F-,CN-,Li-,CHO2-,LiCO3-,C2HO-和LiF2- 等CEI组成成分随着CFO正极刻蚀时间的变化。值得注意的是,在整个刻蚀时间区间里,氟离子的量始终占据主导地位,远高于Li-的量。这一结果表明氟离子主要来源于充电形成的氟化碳中,证明了石墨碳在充电过程中的再氟化。CN-的量在整个刻蚀过程中始终保持较高的水平,证实了EITC基衍生物在CEI中富集。与电解液溶剂分解有关的有机组分的量在整个刻蚀过程中都几乎为零,有力证明了EITC在调节界面及阻止副反应发生的优异效果。

图片

图4 CFO在EITC基电解液中的反应机理


【通讯作者简介】

李驰麟:中国科学院上海硅酸盐研究所二级研究员,博士生导师,课题组长,入选中科院BR计划、上海QR计划、上海市优秀学术带头人,获中国硅酸盐学会青年科技奖。在氟化物/氟离子电池、固态电池、锂/镁金属电池、新型电极和电解质材料的结构合成设计、电化学机制和纳米离子学等方面作出系列原创成果。受邀在国际固态离子学大会、国际氟化学大会、美国化学会年会等国内外会议上作主题和邀请报告80余次。在Sci. Adv.、Nat. Commun.、Matter、Adv. Mater.、J. Am. Chem. Soc.、Angew. Chem.、Energy Environ. Sci.等发表期刊论文160余篇,申请和授权国际和中国发明专利30余项。承担国家自然科学基金委面上项目和联合基金项目(5 项)、国家重点研发计划以及多项省部级和企业科研项目。担任中国硅酸盐学会青年工作委员会委员、Interdisciplinary Materials学术编辑、无机材料学报编委、Journal of Alloys and Compounds客座编辑等。


MG不朽情缘

  • 网站地图